博客
关于我
中科大-凸优化 笔记(lec47)-最速下降法
阅读量:320 次
发布时间:2019-03-04

本文共 713 字,大约阅读时间需要 2 分钟。

梯度下降法

梯度下降法是一种广泛应用于优化问题的迭代算法,通过不断调整模型参数使目标函数值逐步减小。其核心思想是沿着目标函数的负梯度方向步进,寻找最优解。具体公式为:

$$x_{k+1} = x_k - \nabla f(x_k)$$

在实际应用中,梯度下降法的收敛速度和最终效果依赖于步长选择和优化策略。为了加快收敛速度,常采用动量项或自适应学习率等方法进行改进。


最速(陡)下降法

最速下降法是梯度下降法的一种变种,采用恒定步长沿着当前点的负梯度方向更新参数。其更新公式与梯度下降法类似,但不考虑动量项或自适应步长。尽管最速下降法的收敛速度较慢,但其实现简单,适用于许多实际问题。


Gradient与Steepest Gradient的变种

为了解决梯度下降法在某些情况下收敛缓慢或无法收敛的问题,研究者提出了多种改进方法。以下是两种常见的变种:


1)坐标轮换法

坐标轮换法是一种处理梯度计算中零点问题的方法。通过轮换目标函数的梯度计算顺序,避免梯度计算过程中出现所有分量同时为零的情况,确保算法能够正常收敛。


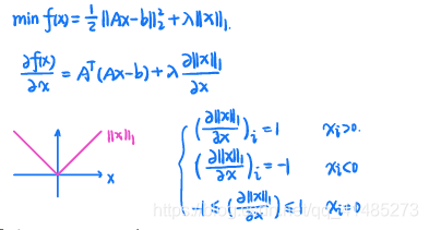
2)若$f(x)$在某些点不可微

当目标函数$f(x)$在某些点不可微时,梯度下降法无法直接应用。这种情况下,可以采用插值或近似方法估计不可微点附近的梯度,从而继续优化过程。


例子

假设目标函数$f(x)$在$x_0$处不可微,但其一阶泰勒展开近似为:

$$f(x) \approx f(x_0) + \nabla f(x_0)^T(x - x_0)$$

此时,可以使用梯度近似值$\nabla f(x_0)$代替实际不可微点的梯度,继续进行优化。


下一章传送门

以上内容为本文的全部内容,后续章节请随机访问。

转载地址:http://aepq.baihongyu.com/

你可能感兴趣的文章
NN&DL4.1 Deep L-layer neural network简介
查看>>
NN&DL4.3 Getting your matrix dimensions right
查看>>
NN&DL4.8 What does this have to do with the brain?
查看>>
No 'Access-Control-Allow-Origin' header is present on the requested resource.
查看>>
No Datastore Session bound to thread, and configuration does not allow creation of non-transactional
查看>>
No fallbackFactory instance of type class com.ruoyi---SpringCloud Alibaba_若依微服务框架改造---工作笔记005
查看>>
No Feign Client for loadBalancing defined. Did you forget to include spring-cloud-starter-loadbalanc
查看>>
No mapping found for HTTP request with URI [/...] in DispatcherServlet with name ...的解决方法
查看>>
No module named cv2
查看>>
No module named tensorboard.main在安装tensorboardX的时候遇到的问题
查看>>
No module named ‘MySQLdb‘错误解决No module named ‘MySQLdb‘错误解决
查看>>
No new migrations found. Your system is up-to-date.
查看>>
No qualifying bean of type XXX found for dependency XXX.
查看>>
No resource identifier found for attribute 'srcCompat' in package的解决办法
查看>>
No toolchains found in the NDK toolchains folder for ABI with prefix: mips64el-linux-android
查看>>
NO.23 ZenTaoPHP目录结构
查看>>
NoClassDefFoundError: org/springframework/boot/context/properties/ConfigurationBeanFactoryMetadata
查看>>
Node JS: < 一> 初识Node JS
查看>>
Node-RED中使用JSON数据建立web网站
查看>>
Node-RED中使用node-red-browser-utils节点实现选择Windows操作系统中的文件并实现图片预览
查看>>